每日题解:LeetCode 23. 合并K个排序链表
2020-06-30
题目描述
合并 k 个排序链表,返回合并后的排序链表。请分析和描述算法的复杂度。
示例:
输入:
[
1->4->5,
1->3->4,
2->6
]
输出: 1->1->2->3->4->4->5->6
解法
CPP
class Solution {
public:
ListNode* mergeKLists(vector<ListNode*>& lists) {
return merge(lists,0,lists.size()-1);
}
ListNode* merge(vector<ListNode*>& lists,int left, int right) {
if(left==right){
return lists[left];
}
if (left > right) return nullptr;
int mid = (left + right) >> 1;
return mergeTwoLists(merge(lists, left, mid), merge(lists, mid + 1, right));
}
ListNode* mergeTwoLists(ListNode *l1, ListNode *l2) {
ListNode *prehead = new ListNode(-1);
ListNode *prev = prehead;
while (l1 && l2){
if(l1->val<=l2->val){
prev->next=l1;
l1=l1->next;
}else {
prev->next=l2;
l2=l2->next;
}
prev= prev->next;
}
prev->next=l1?l1:l2;
return prehead->next;
}
};
解题思路
分治合并
这题需要完成前置的一题合并两个有序链表,组合刷题,建立两题一起刷
JAVA写法
class Solution {
public ListNode mergeTwoLists(ListNode l1, ListNode l2) {
ListNode prehead = new ListNode(-1);
ListNode prev = prehead;
while (l1!=null && l2!=null){
if(l1.val<=l2.val){
prev.next=l1;
l1=l1.next;
}else {
prev.next=l2;
l2=l2.next;
}
prev= prev.next;
}
prev.next=l1==null?l2:l1;
return prehead.next;
}
}
合并两个有序链表采用了递归的写法,思路就是对比两个链表的当前值,然后prev 指向当前值小的节点,由于链表是已升序排序,其中一个链表合并完,后面就直接指向未遍历完的链表即可
回到今天需要解答的题目:合并K个排序链表
分治算法的基本思想是将一个规模为N的问题分解为K个规模较小的子问题,这些子问题相互独立且与原问题性质相同。求出子问题的解,就可得到原问题的解。即一种分目标完成程序算法,简单问题可用二分法完成。
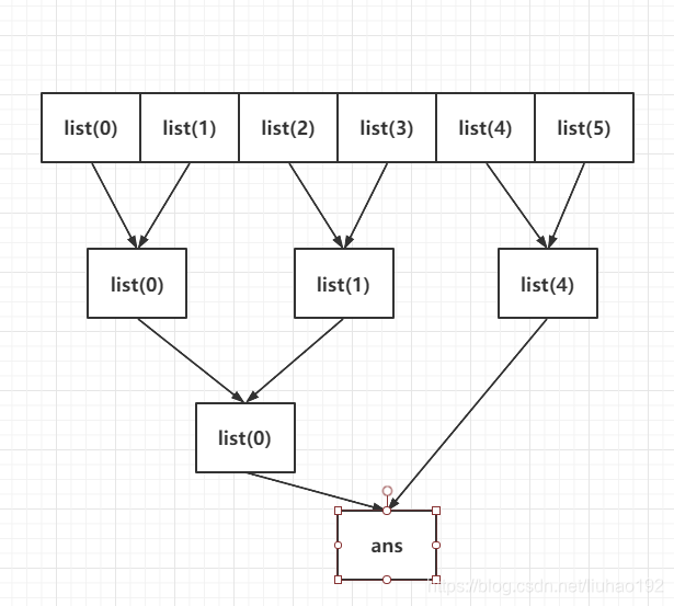
以上是来自百度关于分治算法的解释,题目要求合并K个排序链表,那就按照分治算法的思路,把链表集合分成多个链表范围进行合并,如图

将合并K个排序链表分成多个合并两个有序链表,
ListNode* mergeKLists(vector<ListNode*>& lists) {
merge(lists,0,lists.size()-1);
}
ListNode* merge(vector<ListNode*>& lists,int left, int right) {
if(left==right){
return lists[left];
}
if (left > right) return nullptr;
int mid = (left + right) >> 1;
//将集合拆分成左右两份,最后在合并
return mergeTwoLists(merge(lists, left, mid), merge(lists, mid + 1, right));
}
- 第一轮拆分成k/2,第二轮拆分成k/4,然后为k/8直到不能拆分,即left=right,
- 然后合并每对的链表,从k/8合并到k/4.,k/4合并到k/2,重复拆,然后合并的过程,直到得到最终的有序链表